Homework #2
1. Consider a free and independent electron gas in two dimensions.
(a) (5 pts) What is the relation between n and kf in two dimensions?
(b) (5 pts) Prove that in two dimensions the free electron density of levels g(e) is a constant independent of e for e > 0, and 0 for e < 0. What is the constant?
2. A two-dimensional metal has one atom of valence one in a simple rectangular primitive cell of a1 = 2 and a2 = 4.
(a) (5 pts) Draw the first and the second Brillouin zones.
(b) (5 pts) Calculate the radius of the free electron Fermi sphere and draw this sphere to scale on the drawing of the Brillouin zones.
(c) (5 pts) Draw the Fermi surface in the reduced zone scheme and show schematically the effect of a weak crystal potential.
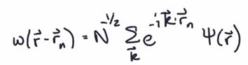
3. The Wannier functions of a band are defined in terms of the Block functions of the same band by
where rn is a lattice point.
(a) (5 pts) Prove that Wannier functions about different lattice points n, m are orthogonal:
This orthogonality property makes the functions often of greater use than atomic orbitals centered on different lattice sites, because the latter are not generally orthogonal.
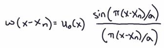
(b) (5 pts) The Wannier functions are peaked around the lattice sites. Show that for
the Wannier function is
for N atoms on a line of lattice constant a. Sketch the Wannier function as a function of x around lattice site at xn.



